Ответы
Ответ дал:
0
Ответ:
(-3, 2)
Объяснение:
8a+3в=7
-4а-5в=7
3в+8а=7(міняємо місцями ліву частину)
-5в-4а=7 *2 (множимо дві частини на 2 і міняємо місцями ліву частину)
3в+8а=7 тут додаємо
-10в-8а=7 тут додаємо
-7в=21
в=-3
а=-5*(-3)-4а=7
а=2
Ответ дал:
0
Ответ:
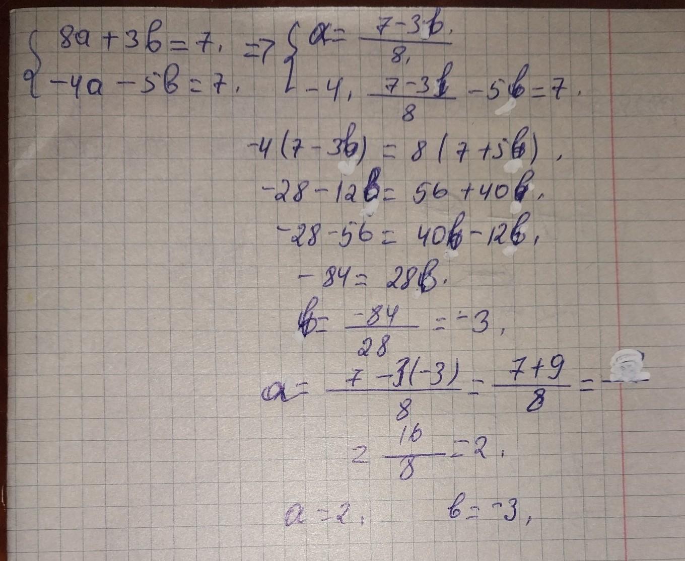
a=2
в=-3
.
.......
.
Приложения:

Вас заинтересует
2 года назад
8 лет назад
9 лет назад