• Предмет: Алгебра
  • Автор: stagirova6605
  • Вопрос задан 7 лет назад

30 БАЛЛОВ!!! Вычислите:

Приложения:

Ответы

Ответ дал: manyny06
1

Ответ:

решение смотри на фотографии

Приложения:
Ответ дал: NNNLLL54
1

Ответ:

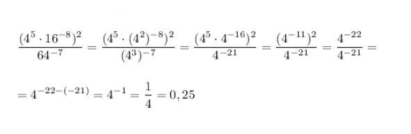
Применяем свойства степеней .

\displaystyle \frac{(4^5\cdot 16^{-8})^2}{64^{-7}}=\frac{(4^5\cdot (4^2)^{-8})^2}{(4^3)^{-7}}=\frac{(4^5\cdot 4^{-16})^2}{4^{-21}}=\frac{(4^{-11})^2}{4^{-21}}=\frac{4^{-22}}{4^{-21}}=\\\\\\=4^{-22-(-21)}=4^{-1}=\frac{1}{4}=0,25

Приложения:
Вас заинтересует