• Предмет: Геометрия
  • Автор: titarevcaca54
  • Вопрос задан 7 лет назад

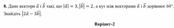
Помогите решить пожалуйста

Приложения:

Ответы

Ответ дал: Аноним
1

Відповідь:

Пояснення:

фото

Приложения:
Ответ дал: manyny06
1

Ответ:

решение смотри на фотографии

Приложения:
Вас заинтересует