• Предмет: Алгебра
  • Автор: justmailuser228
  • Вопрос задан 7 лет назад

ПОМОГИТЕ!!! 40 БАЛОВ!!! ПРАВДА!!!
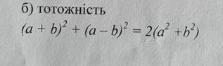
Доведіть тотожність:

Приложения:

Ответы

Ответ дал: bertramjeratire
0

Ответ:

 {(a + b)}^{2}  +  {(a - b)}^{2}  =  {a}^{2}  + 2ab +  {b}^{2}  +  {a}^{2}  - 2ab +  {b}^{2}  =  ({a}^{2}  +  {b}^{2} ) + ( {a}^{2}  +  {b}^{2} ) = 2({a}^{2}  +  {b}^{2} )

Ответ дал: iglembochka0084
0

Ответ:

фото

Объяснение:

Приложения:
Вас заинтересует