• Предмет: Алгебра
  • Автор: f2k68858dz
  • Вопрос задан 7 лет назад

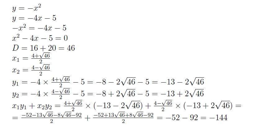
нацдите координаты х1 и у1 и х2 и у2 точек пересечения графиков функции у=-х^2 и у=-4х-5.в ответ запишите значения выражения х1у1+х2у2

Ответы

Ответ дал: yevheniiavz
0

.........................................

Приложения:
Ответ дал: ivankostyrin
0

Ответ:-144

Объяснение:

Приложения:
Вас заинтересует