• Предмет: Алгебра
  • Автор: a78677948
  • Вопрос задан 7 лет назад

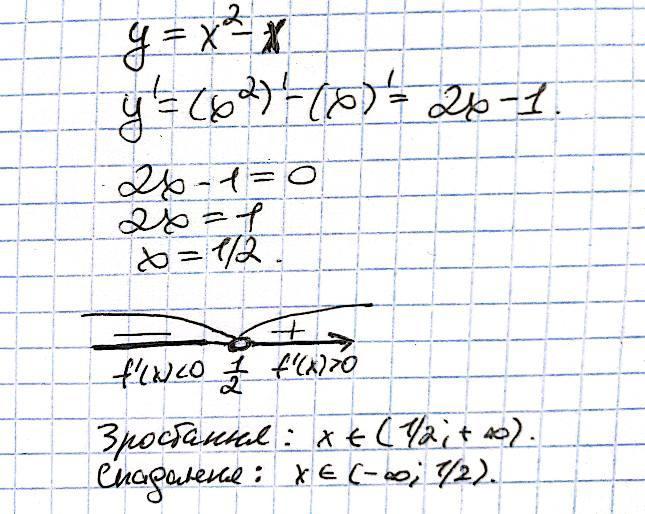
Знайдіть проміжки зростання і спадання функції y=x^2-x

Ответы

Ответ дал: yevheniiavz
1

дивіться фото..............................

Приложения:

a78677948: 1/2 так і писать?
yevheniiavz: можно дробью одна вторая написать, или же и вовсе всюду 1/2 заменить на "0.5" - сути не меняет.
a78677948: Ок спасибі
yevheniiavz: :)
a78677948: Поможи з іще одним питанням у мене в профілі
Вас заинтересует