• Предмет: Алгебра
  • Автор: a78677948
  • Вопрос задан 7 лет назад

Знайдіть точки екстремуму функції y=2x^3+6x^2-18x

Ответы

Ответ дал: yevheniiavz
1

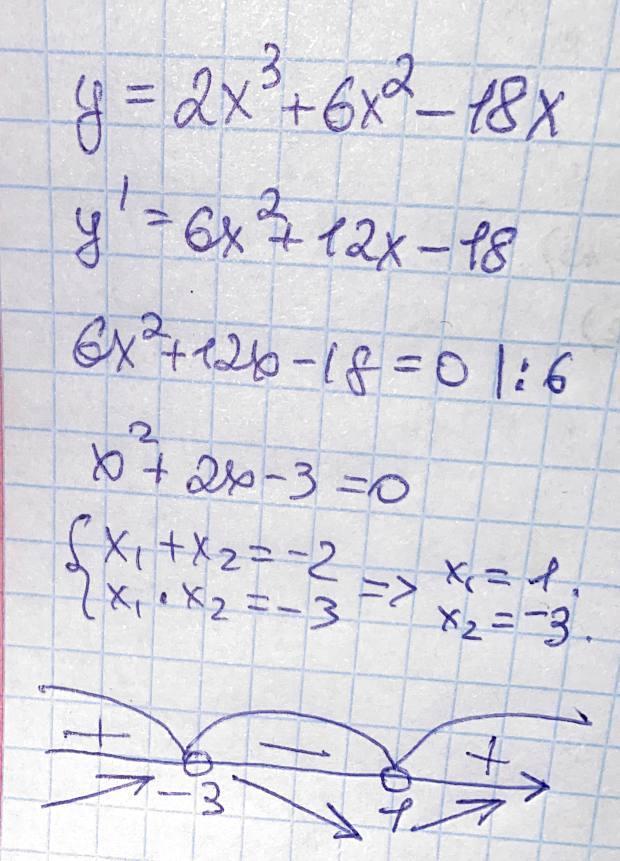
Після запису всього того що на фото, пишемо:

Отже, похідна змінює знак тільки в точках x=1 і x=-3.

У точці x=-3 вона змінює знак з додатного на від'ємний, отже, це точка локального максимуму зі значенням функції f(-3)=54.

У точці x=1 вона змінює знак з від'ємного на додатний, отже, це точка локального мінімуму зі значенням функції f(1)=-10.

Приложения:
Вас заинтересует