• Предмет: Математика
  • Автор: lesuklila00
  • Вопрос задан 7 лет назад

Знайдіть кут між векторами і , якщо (1;0;-1), (-1;1;0).

Ответы

Ответ дал: Matrosik2004
0

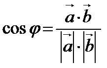
Ответ:

cos(a^b) = 60°

Объяснение:

a (1;0;-1)

b (-1;1;0)

cos(a^b) = (1×(-1) + 0 × 1 + (-1) × 0) / (√(1^2) + (0^2) + (-1^2)) × √(-1^2) + (1^2) + (0^2)) = - 1 / (√2 × √2) = - 1 / 2 = 60°

Приложения:
Вас заинтересует