• Предмет: Математика
  • Автор: 22222222222111
  • Вопрос задан 7 лет назад

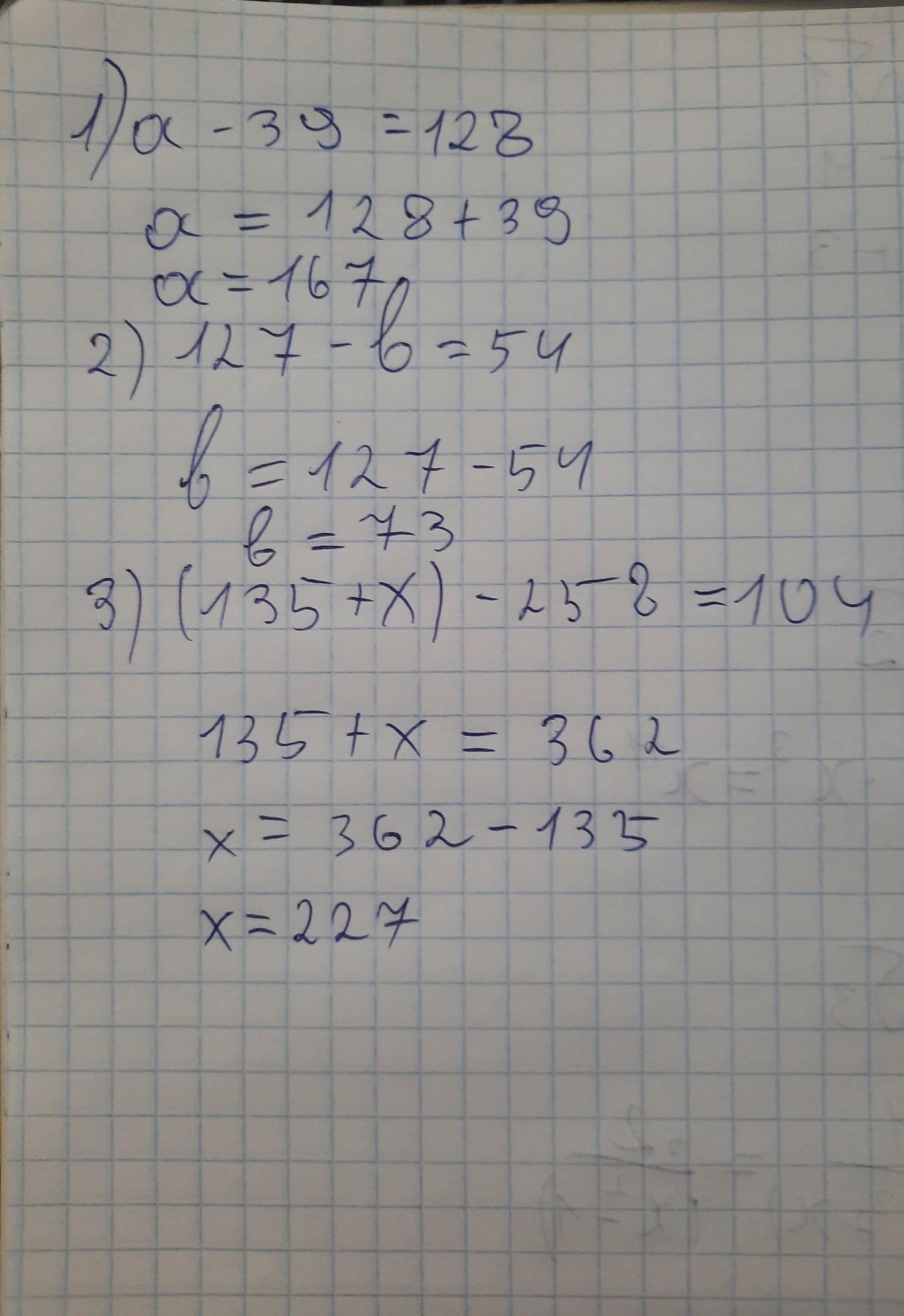
a-39=128

127-b=54

(135+x)-258=104

Ответы

Ответ дал: bobr579
2

Ответ:

Всё верно!

отметь плз как лучший ответ

Приложения:

22222222222111: спс
Ответ дал: Hellllllllllllll
1

Відповідь:

A-39=128

a=128+39

a=167

127-b=54

b=127-54

b=73

(135+x)-258=104

135+x=104+258

135+x=362

x=362-135

x=227

Вас заинтересует