• Предмет: Математика
  • Автор: berezhnakarina
  • Вопрос задан 7 лет назад

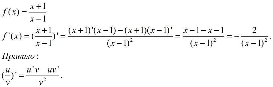
Обчислити похідну функції y= x +1 / x-1

Ответы

Ответ дал: yevheniiavz
0

дивіться фото............................

Приложения:
Вас заинтересует