• Предмет: Алгебра
  • Автор: kirill1topchey
  • Вопрос задан 7 лет назад

Помогите,эти 2 залагия сделать

Приложения:

Ответы

Ответ дал: manyny06
3

Ответ:

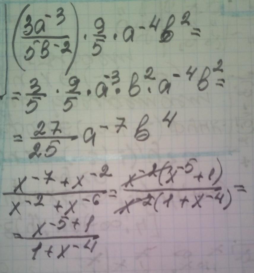
решение смотри на фотографии

Приложения:
Вас заинтересует