• Предмет: Физика
  • Автор: AndreyQwq
  • Вопрос задан 7 лет назад

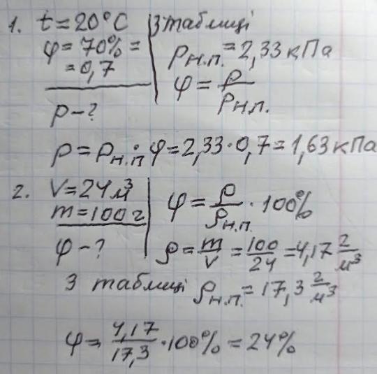
3.Відносна вологість повітря в кімнаті при 20 °С дорівнює 70 % . Обчисліть парціальний тиск водяної
пари, що міститься в повітрі:
а) 1,63 кПа; в) 1,75 кПа;
б) 3,33 кПа; г) 2,29 кПа.
9.У 24 м повітря при 20 °С міститься 100 г водяної пари. Ви значте відносну вологість повітря:
а) 24 %; г) 54 %;
б) 34 %; д) 64 %.
в) 44 %;
С объяснением ​

Ответы

Ответ дал: zybkov1950
1

Відповідь: а) 1,63 кПа           а) 24 %;  

Пояснення:

Приложения:
Вас заинтересует