• Предмет: Алгебра
  • Автор: wwwvasy378
  • Вопрос задан 7 лет назад

допоможіть плиз обманшики не беріть бали кину репорт ​

Приложения:

Ответы

Ответ дал: manyny06
0

Ответ:

решение смотри на фотографии

Приложения:
Ответ дал: 56antidon65
0

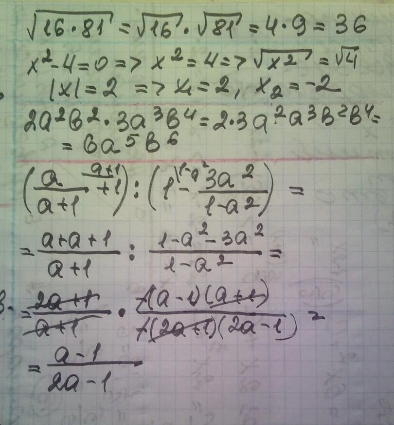
2. \sqrt{16*81}=\sqrt{16}*\sqrt{81}=4*9=36
3. x²-4=0
x²=4
x=±2
4.
2a²b²*3a³b⁴=6a⁵b⁶
(\frac{a}{a+1}+1) : (1-\frac{3a^{2} }{1-a^{2} } )

1=\frac{a+1}{a+1}=\frac{1-a^{2} }{1-a^{2} }

(\frac{2a+1}{a+1}):(\frac{1-4a^{2} }{1-a^{2} } )=(\frac{2a+1}{a+1})*(\frac{1-a^{2} } {1-4a^{2} })

(\frac{2a+1}{a+1})*\frac{(1-a)(1+a)}{(1-2a)(1+2a)}
Скоротимо (2a+1) з (1+2a)(сума від перестановків доданків незмінна)
та (а+1) з (1+а), отримуэмо
\frac{1-a}{1-2a}

Вас заинтересует