• Предмет: Алгебра
  • Автор: polonskisergej
  • Вопрос задан 7 лет назад

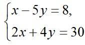
Помогите ПожалуйстаЯка пара чисел є розв'язком системи рівнянь

Приложения:

Ответы

Ответ дал: beretis
0

Ответ:

х-5у=8 *-2

2х+4у=30

-2х+10у=-16

(+)

2х+4у=30

14у=14

у=1

х= 8+5у= 13

(13;1)

Вас заинтересует