• Предмет: Алгебра
  • Автор: daniakucher292
  • Вопрос задан 7 лет назад

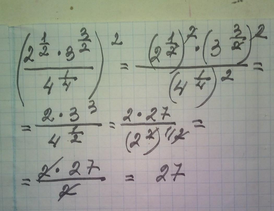
Знайдіть значення виразу

Приложения:

Ответы

Ответ дал: manyny06
1

Ответ:

решение смотри на фотографии

Приложения:

daniakucher292: Спасибо вам большое . Вы меня всегда выручаете в трудных ситуациях:))❤️❤️❤️
Ответ дал: iramazurk
0

Объяснение:

Решение в прикреплённом файле

Приложения:
Вас заинтересует