10. Напишіть рівняння реакцій за допомогою яких можна здійснити перетворення.
Fe → FeO → FeCl2 → Fe (OH)2 → Fe(NO3) 2.
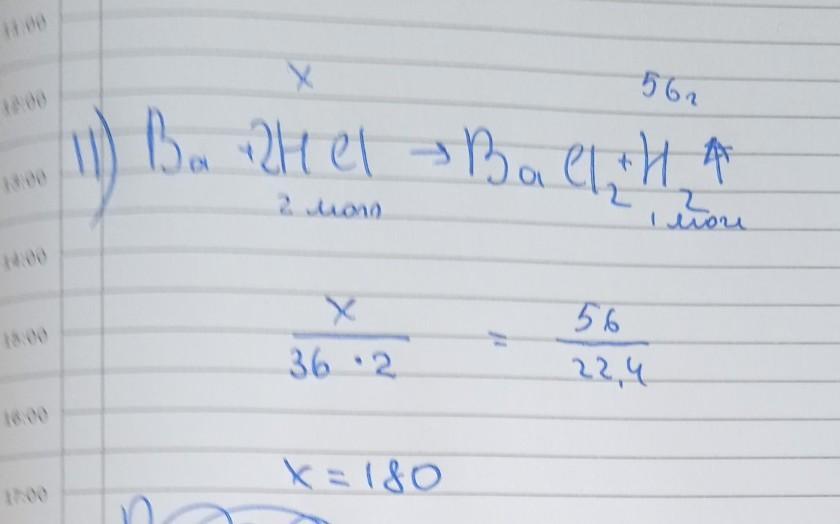
11. При взаємодії барію з хлоридною кислотою виділилось 56 л водню. Яка маса
хлоридної кислоти прореагувала?
kitovura2:
народ пж реще
Ответы
Ответ дал:
1
...........................
Приложения:


залізо, натрій гідроксид, барій оксид, купрум(ІІ) нітрат? Напишіть рівняння відповідних
реакцій.
Вас заинтересует
2 года назад
2 года назад
2 года назад
8 лет назад
9 лет назад