• Предмет: Математика
  • Автор: holoderika83
  • Вопрос задан 7 лет назад

Пж поможіть пж пж срочно бо це тест

Приложения:

holoderika83: Пж поможіть хто може
iglembochka0084: = 2 5/6

Ответы

Ответ дал: 5446654
3

Ответ:

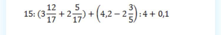
15 : (3 12/17 + 2 5/17) + (4,2 - 2 3/5) : 4 +0,1 = 3

Пошаговое объяснение:

Ответ дал: Gd283
1

Ответ:

4,8

Пошаговое объяснение:

=15:6+8,8:4+0,1=2,5+2,2+0,1=4,8

Вас заинтересует