Ответы
Ответ дал:
2
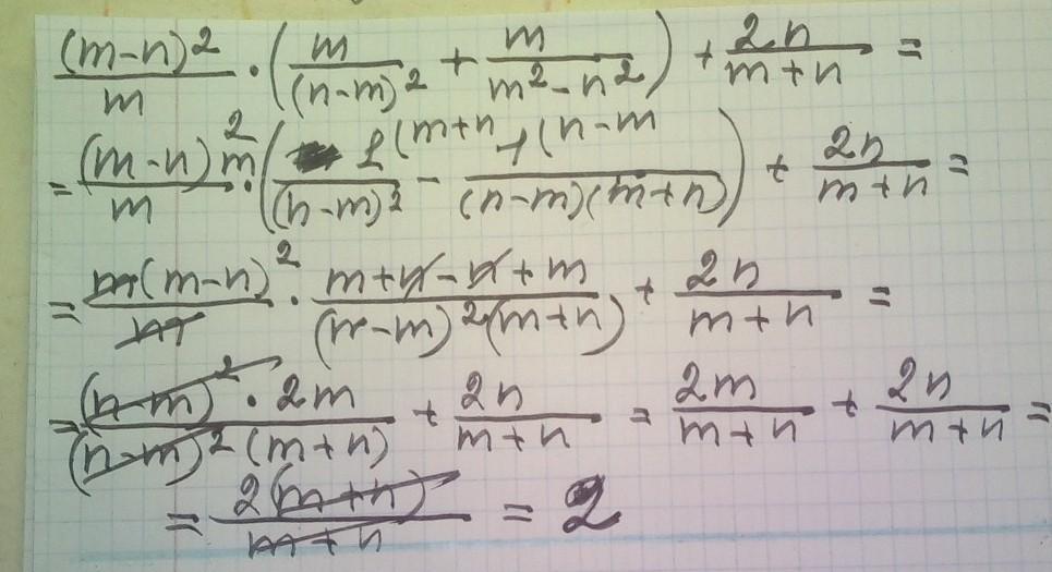
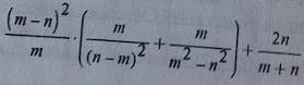
Ответ:
решение смотри на фотографии
Приложения:

Miа16:
manyny06 добрый вечер)
Вас заинтересует
2 года назад
8 лет назад