• Предмет: Алгебра
  • Автор: lastof
  • Вопрос задан 7 лет назад

Помогите сократить дробь ​

Приложения:

Ответы

Ответ дал: parus77
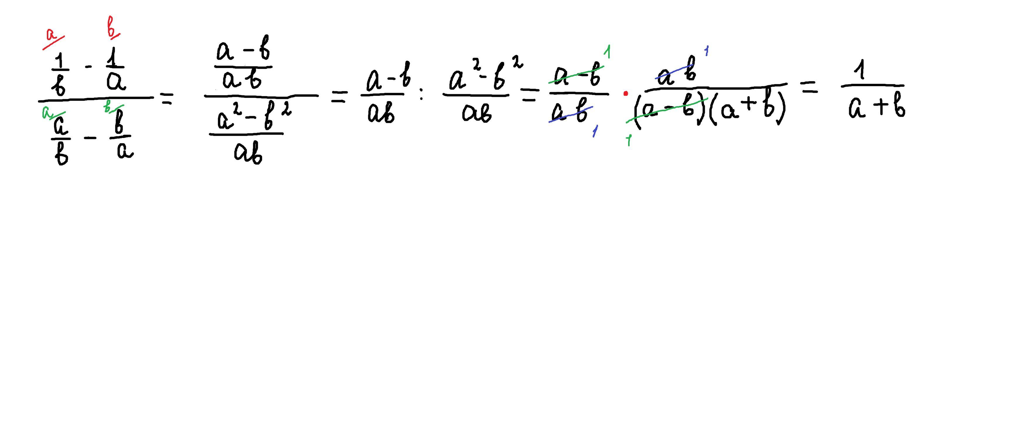
1

Ответ:

1/(a+b)

Объяснение:

решение внизу

приводим дроби к общему знаменателю,заменяем черту дроби знаком деления,выполняем умножение дробей(не забываем разложить по формуле разность квадратов а²-в²=(а-в)(а+в))сокращаем и получаем ответ.

Приложения:
Вас заинтересует