• Предмет: Алгебра
  • Автор: ezzamarria
  • Вопрос задан 7 лет назад

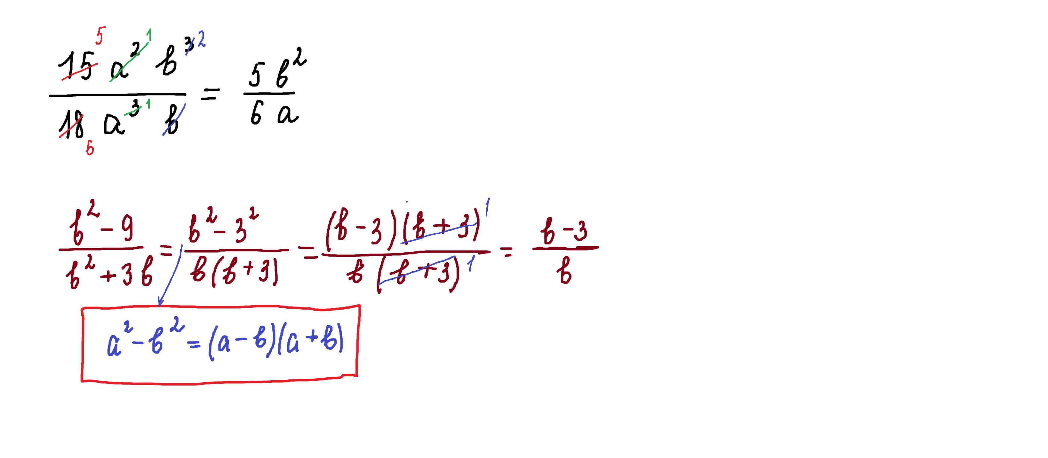
Алгебра, сократите дробь

Приложения:

Ответы

Ответ дал: parus77
2

Ответ:

Объяснение:

решение внизу

при делении степеней с одинаковым основание показатели вычитаются.(в примере а),15 и 18 разделили на3,получили 5 и6.

в примере б)применяем формулу разность квадратов и выносим общий множитель за скобки

Приложения:
Вас заинтересует