• Предмет: Алгебра
  • Автор: bluismo6817
  • Вопрос задан 7 лет назад

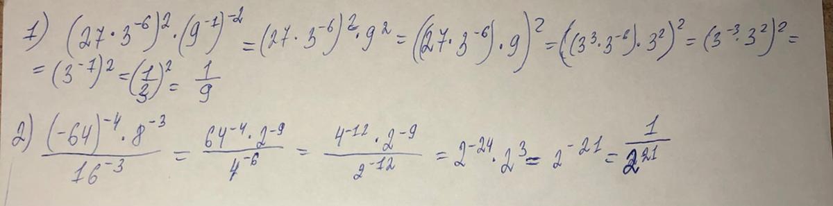
Вычислите:
1) (27*3^-6)^2 *(9^-1)^-2=
2) (-64)^-4*8^3/16^-3=

Ответы

Ответ дал: vasilisa997722
0
На первый не знаю в второй 1/2^27
Ответ дал: Zikkkkkkkk
0
Отметьте как лучший ответ
Приложения:
Вас заинтересует