• Предмет: Алгебра
  • Автор: kyleshova027
  • Вопрос задан 7 лет назад

Помогите пожалуйста нужно расписать​

Приложения:

Ответы

Ответ дал: fenix6810
1

Ответ:

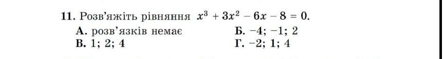
Объяснение:х³+3х²-6х-8=х³-8+3х²-6х=(х-2)(х²+2х+4)+3х(х-2)=

=(х-2)(х²+2х+4+3х)=(х-2)(х²+5х+4)=(х-2)(х+4)(х+1)

(х-2)(х+1)(х+4)=0

х1=-4

х2=-1

х3=2

ответ Б

Вас заинтересует