• Предмет: Математика
  • Автор: sarbashartem
  • Вопрос задан 7 лет назад

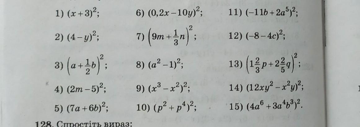
дам много баллов
дам много баллов​

Приложения:

Ответы

Ответ дал: bekmuradovaziz74
0

Ответ:

Пошаговое объяснение:

Приложения:
Вас заинтересует