• Предмет: Математика
  • Автор: be3yn4ik56
  • Вопрос задан 7 лет назад

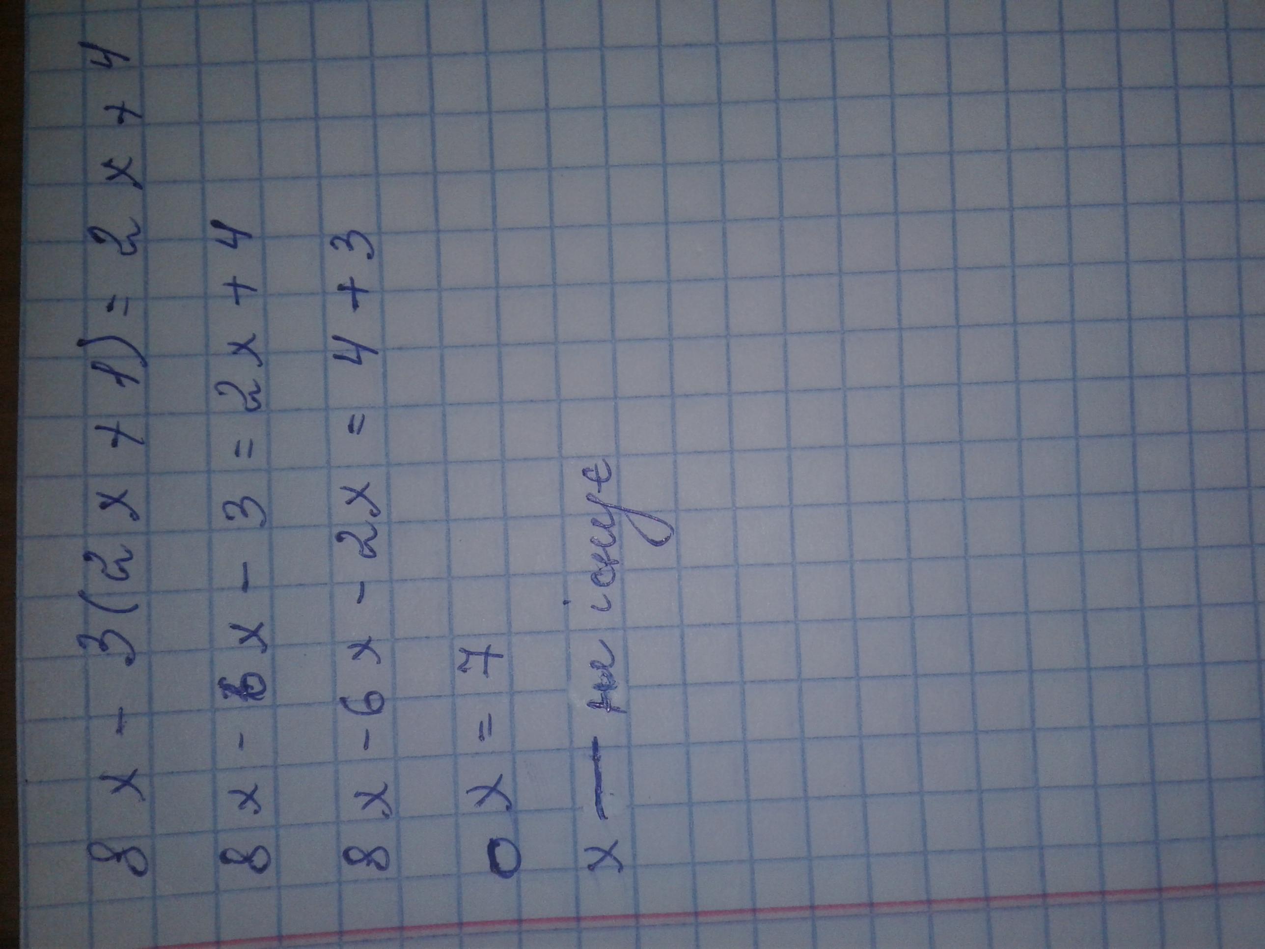
Розв'яжіть рівняння 8×-3(2×+1)=2×+4​

Ответы

Ответ дал: sadykovaeleonora
1

Ответ:

Смотри фото ниже.

Пошаговое объяснение:

Приложения:
Вас заинтересует