Ответы
Ответ дал:
0
Ответ:
Смотри фото ниже
Пошаговое объяснение:
Приложения:

Ответ дал:
0
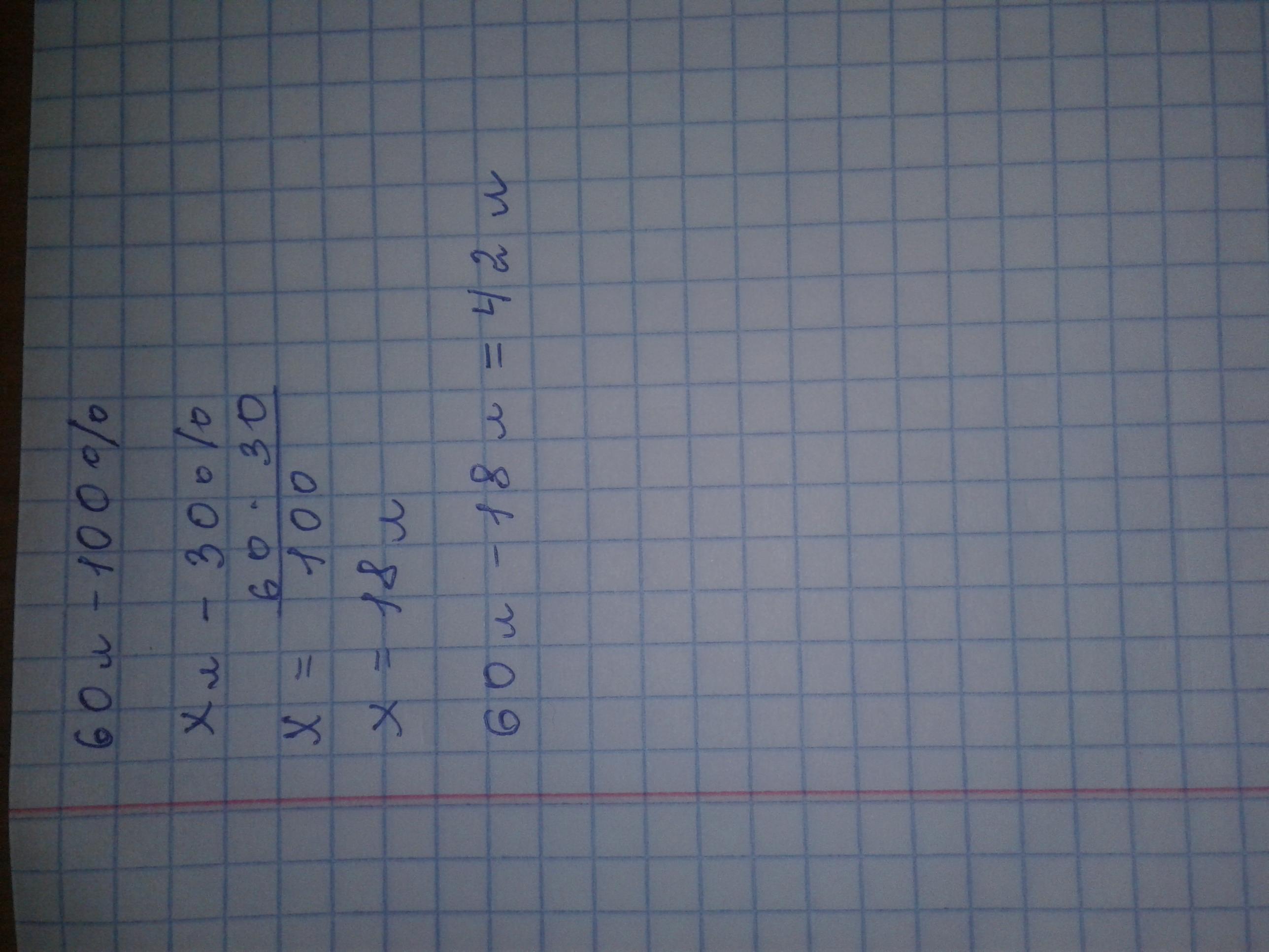
Ответ:
18 л.
Пошаговое объяснение:
Вас заинтересует
2 года назад
2 года назад
2 года назад
2 года назад
8 лет назад
8 лет назад
9 лет назад