• Предмет: Математика
  • Автор: Mmissbrain
  • Вопрос задан 7 лет назад

решите срочно , даю 50 баллов​

Приложения:

manyny06: что надо сделать? найти производную?
Mmissbrain: да

Ответы

Ответ дал: manyny06
1

Ответ:

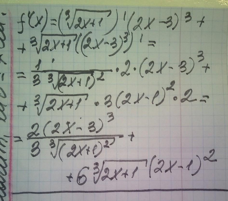
решение смотри на фотографии

Приложения:
Ответ дал: IUV
1

Ответ:

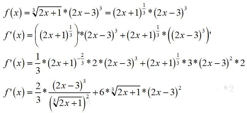
во вложении

Пошаговое объяснение:

Приложения:

Mmissbrain: а можешь отправить формулу по которой было решено
IUV: (f*g)` = f`*g+f*g`
IUV: производная произведения
Вас заинтересует