Ответы
Ответ дал:
0
Просто воспользуйся формулой:
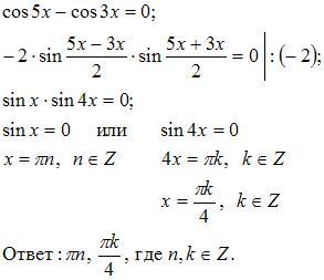
cosA - cosB = 2*sin((A+B)/2)*sin((B-A)/2)
cosA - cosB = 2*sin((A+B)/2)*sin((B-A)/2)
Приложения:

Вас заинтересует
2 года назад
2 года назад
8 лет назад
8 лет назад
10 лет назад
10 лет назад