Ответы
Ответ дал:
1
Ответ:
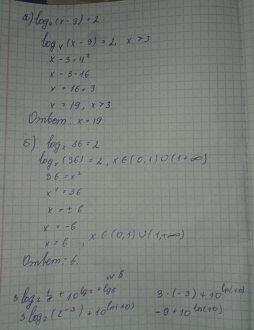
Решила всё подробно, надеюсь что будет всё понятно!
Приложения:



viktoriabodnaruk660:
спасибо огромное
Вас заинтересует
2 года назад
2 года назад
2 года назад
8 лет назад
9 лет назад