• Предмет: Математика
  • Автор: improfunxfx
  • Вопрос задан 7 лет назад

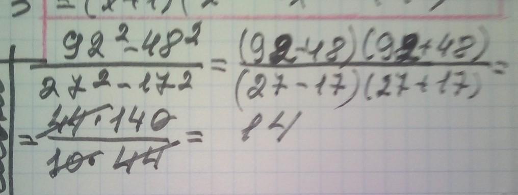
13. Вычислите рациональным способом: 92²-48²
––––––
27²-17²​

Ответы

Ответ дал: manyny06
3

Ответ:

решение смотри на фотографии

Приложения:

improfunxfx: спасибо)
Ответ дал: skr7777
0

92²-48² = (92-48)*(92+48) = 44*140.

27²-17²​ = (27-17)*(27+17) = 44*10

\frac{44*140}{10*44} = \frac{140}{10} = 14

( Спочатку скорочуємо 44 у знаменику і чисельнику , а потім на 10)

(Це за формулою скороченого множення - різниця квадратів)

Вас заинтересует