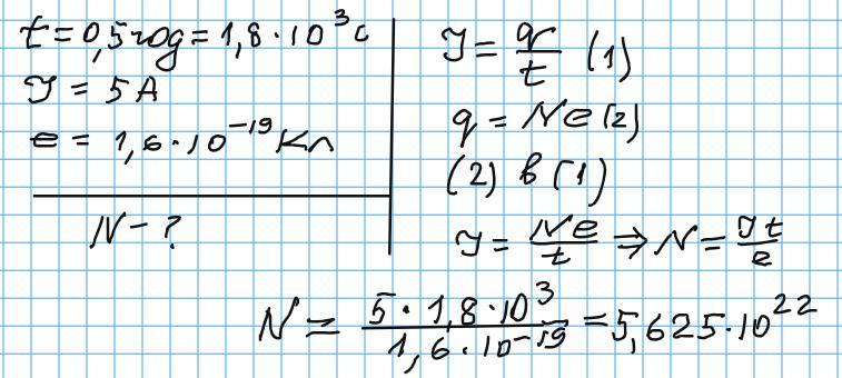
88 БАЛЛОВ!! Скільки електронів проходить через поперечний переріз провідника за 0,25 год за сили струму 5 A?
Ответы
Ответ дал:
0
Відповідь: 5.625·10²²
Пояснення:
Приложения:
Вас заинтересует
2 года назад
2 года назад
3 года назад
3 года назад
8 лет назад
8 лет назад
10 лет назад