СРОЧНО!!!!!!!!!!!!!!!!!50БАЛОВ!!!!!!!!!!!!
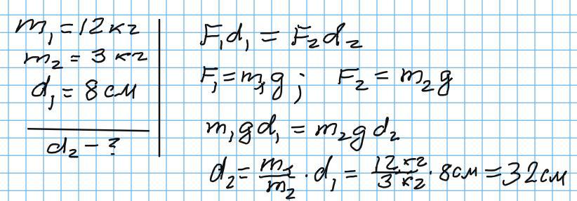
До кінців важеля підвісити тягарці масами 12кг і 3кг.Важіль перебуває у рівновазі.Яким має бути плече меншої сили, якщо плече більшої сили 8см.
Приложения:

Ответы
Ответ дал:
2
Відповідь: 32 см
Пояснення:
Приложения:

Вас заинтересует
2 года назад
2 года назад
2 года назад
8 лет назад
8 лет назад