• Предмет: Алгебра
  • Автор: gedonmisha
  • Вопрос задан 7 лет назад

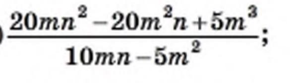
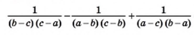
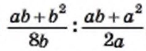
1-Скоротите Дробь.2- Упростите ,3-Поделите

Приложения:

Ответы

Ответ дал: floferum
1

Ответ:

1) 2n-m

2) 0

3) 0.25

Объяснение:

Приложения:

gedonmisha: Спасибо большее, можешь на мои остальные 2 вопроса по алгебре ответить? я за них тоже по 100 балов даю
Вас заинтересует