• Предмет: Математика
  • Автор: Аноним
  • Вопрос задан 7 лет назад

Знайдіть значення виразу 3,2n-7,6,якщо n=5СРОООЧНООО!!!!ПЖПЖ


Аноним: І ще одне:Спростити вираз 2,5а*6b
Аноним: Тут відповідайте....

Ответы

Ответ дал: sadykovaeleonora
1

Ответ:

Пошаговое объяснение:

Приложения:

Аноним: Дякую
Ответ дал: viktorplitchuk
1

Ответ:

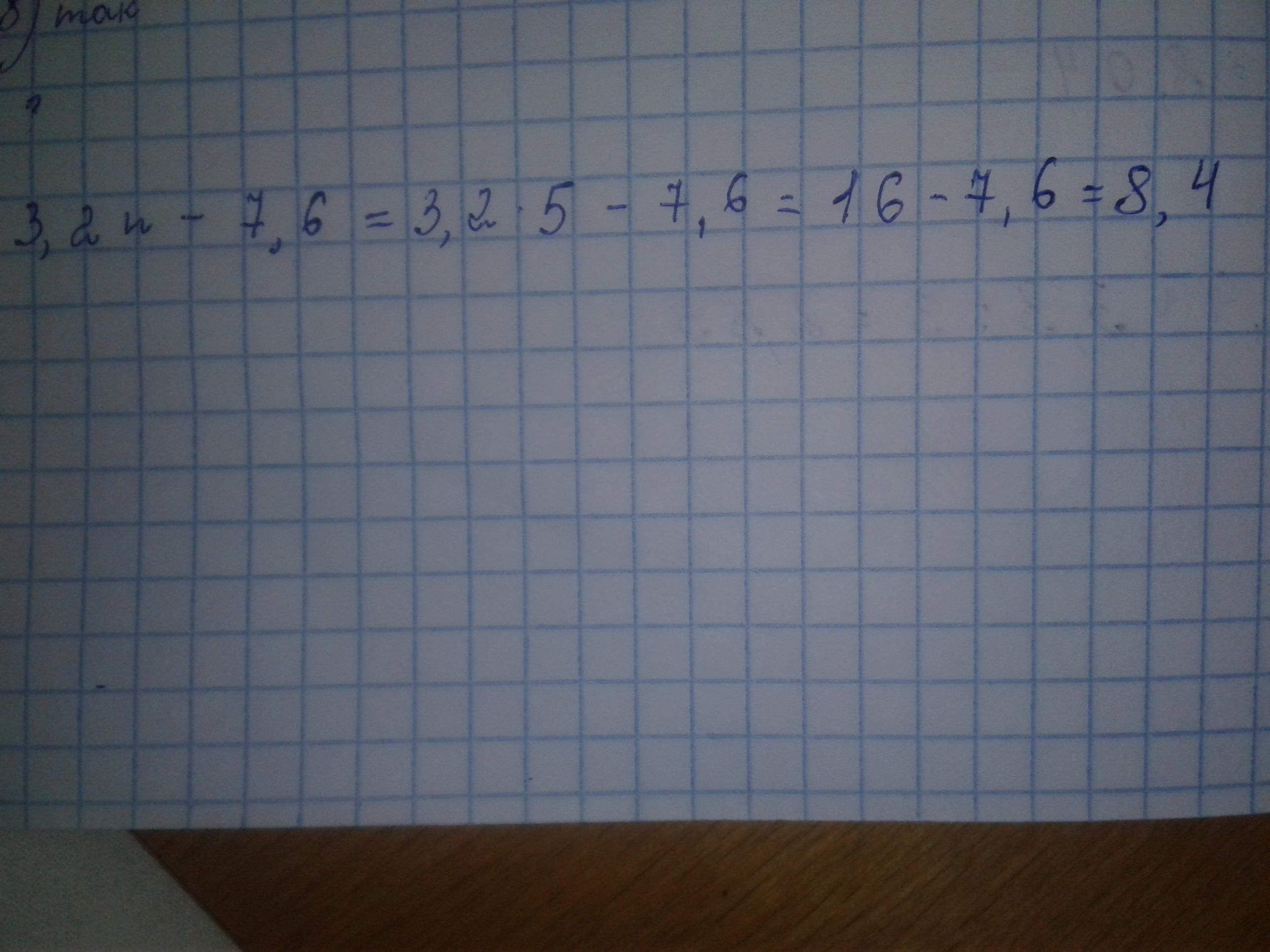
Якщо n=5,то

3,2*5-7,6=16-7,6=8,4


Аноним: Дякую
Вас заинтересует