Ответы
Ответ дал:
0
Ответ:
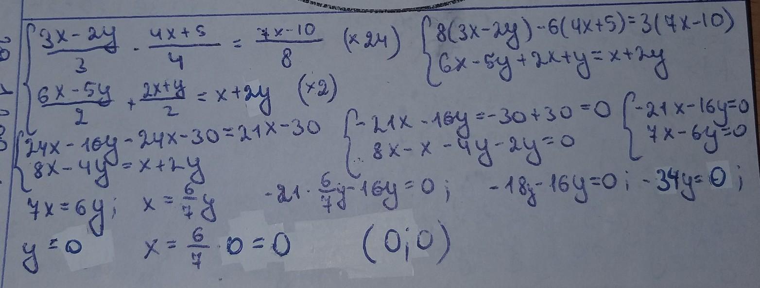
(x; y) = (0; 0)
Подробное решение на фото.
Приложения:

Вас заинтересует
2 года назад
2 года назад
8 лет назад
8 лет назад
9 лет назад