• Предмет: Алгебра
  • Автор: Аноним
  • Вопрос задан 7 лет назад

помогите пожалуйста решить задачу ​

Приложения:

Ответы

Ответ дал: NNNLLL54
0

Ответ:

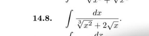
Замена переменной в неопределённом интеграле .

\displaystyle \int \frac{dx}{\sqrt[3]{x^2}+2\sqrt{x}}=\Big[\ x=t^6\ ,\ dx=6\, t^5\, dt\ \Big]=\int \frac{6\, t^5\, dt}{\sqrt[3]{t^{12}}+\sqrt{t^6}}=6\int \frac{t^5\, dt}{t^4+t^3}=\\\\\\=6\int \frac{t^2\, dt}{t+1}=6\int \Big(t-1+\frac{1}{t+1}\Big)\, dt=6\cdot \Big(\frac{t^2}{2}-t+ln|\, t+1\, |+C_1\Big)=\\\\\\=3\sqrt[3]{x}-6\sqrt[6]{x}+6\, ln|\, \sqrt[6]{x}+1\, |+C


Аноним: спасибо большое
Аноним: и еще один остался вопрос помогите пожалуйста
Вас заинтересует