• Предмет: Математика
  • Автор: sorahack78
  • Вопрос задан 7 лет назад

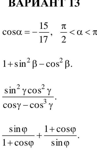
Применение формул тригонометрии​

Приложения:

Ответы

Ответ дал: manyny06
0

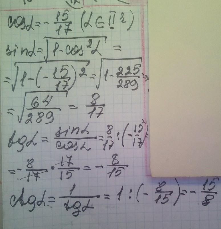
Ответ:

решение смотри на фотографии

Приложения:

sorahack78: а 4?
manyny06: смотри внимательно, ч все о правила
sorahack78: но у вас на фото нет 4 номера, только 1,2,3
manyny06: 1 фото - первое задание, 2 фото - второе и третье, 3 и 4 - это четвертое задание
sorahack78: извиняюсь, не грузились фото 3 и 4
manyny06: попытаюсь исправить
manyny06: есть?
sorahack78: да
Вас заинтересует