• Предмет: Геометрия
  • Автор: H1ls
  • Вопрос задан 7 лет назад

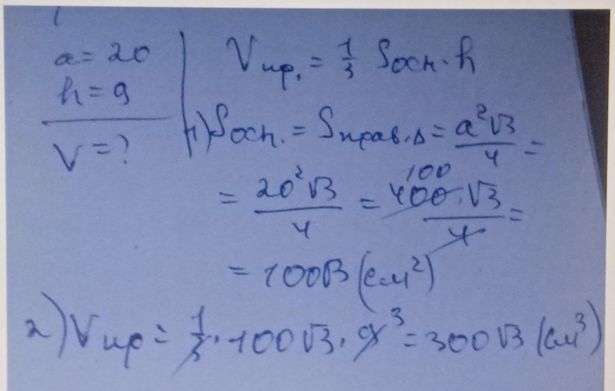
Обчисліть об'єм правильної трикутної призми сторона основи якої дорівнює 20 см а висота 9 см

Ответы

Ответ дал: griskoa64
0

Ответ:

если у тебя есть варианты ответов,то это будет...

300✓3см³

Приложения:

H1ls: а решения
H1ls: какое
griskoa64: сейчас жди
H1ls: спсэ
Вас заинтересует