• Предмет: Математика
  • Автор: veronikapt018
  • Вопрос задан 7 лет назад

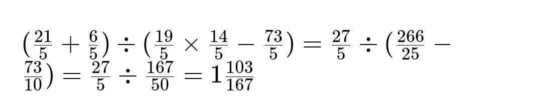
(4 1/5+1.2):3 4/7*2 4/5-7.3)
Допоможіть будь ласка

Ответы

Ответ дал: faridmusaev49
0

Ответ:

ОТВЕТ:1 103/167

...........

Приложения:
Ответ дал: Asfdew
0

Пошаговое объяснение:

♡♡♡♡♡♡♡♡♡♡♡♡♡♡♡♡♡♡♡♡♡♡♡♡♡♡♡♡

Приложения:
Вас заинтересует