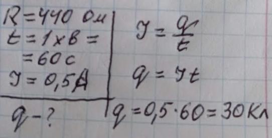
СРОЧНО!Який заряд проходить через електролампочку опором 440 Ом за 1 хв. при силі струму 0,5 А. уведіть відповідь у кулонах
Ответы
Ответ дал:
2
Відповідь: 30 Кл
Пояснення:
Приложения:

aallllll:
здравствуйте помогите пожалуйста
Вас заинтересует
2 года назад
2 года назад
2 года назад
2 года назад
8 лет назад