• Предмет: Математика
  • Автор: dzusapusa91
  • Вопрос задан 7 лет назад

Довжина прямокутної ділянки 450м, а ширина - у 9 разів менша. Знайди площу ділянки та їі периметр.

Ответы

Ответ дал: martovskayakoshechka
1

Ответ: 22.500 см2 й 1000см

Пошаговое объяснение: 1) 450:9= 50( см) - ширина
2)450*50=22.500 (см2)- площа
3)2*(450+50)= 1000 (см)- периметр

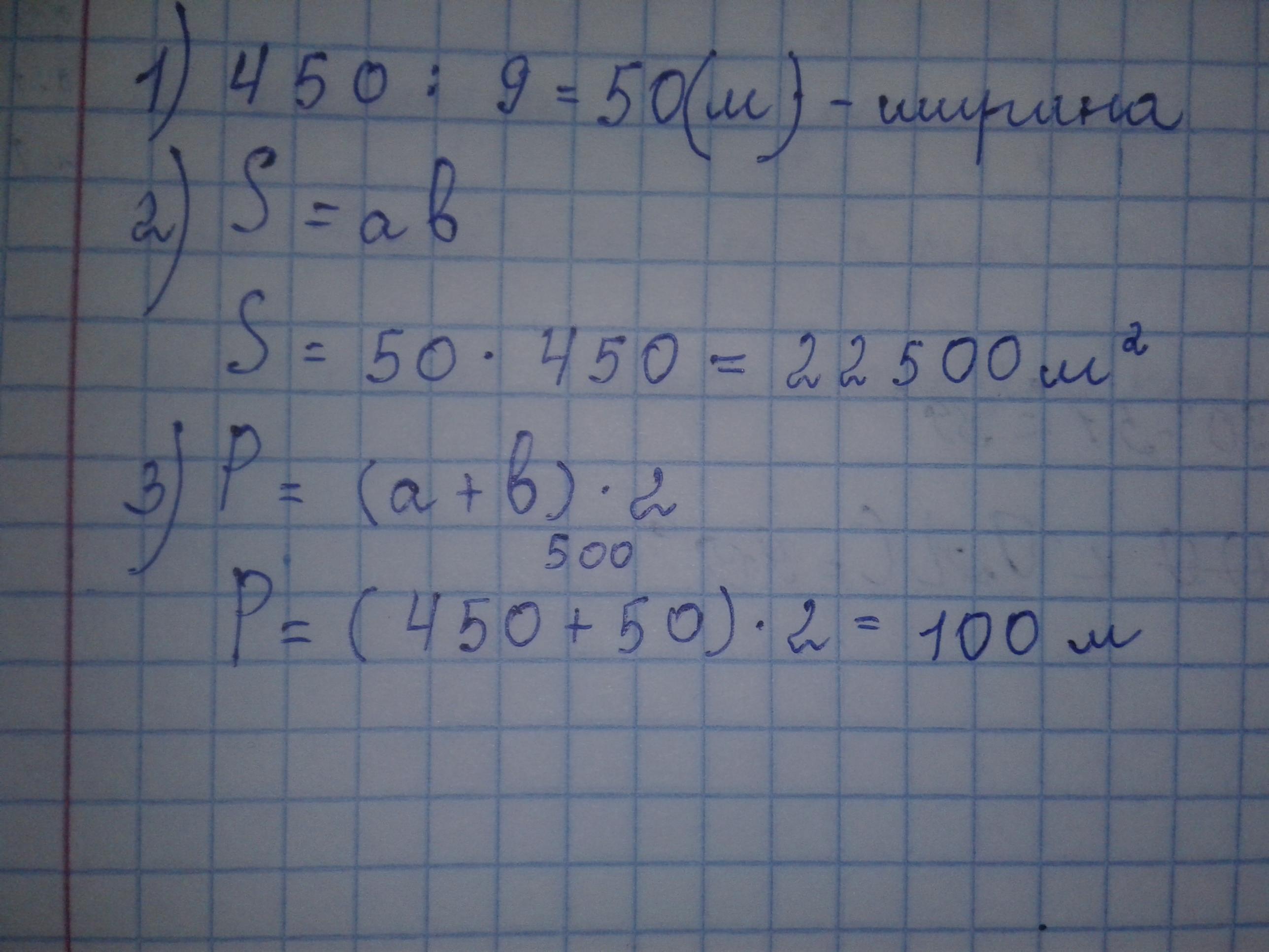
Ответ дал: sadykovaeleonora
2

Ответ:

Смотри фото ниже.

Пошаговое объяснение:

Приложения:
Вас заинтересует