• Предмет: Физика
  • Автор: vivan0865
  • Вопрос задан 7 лет назад

Срочно
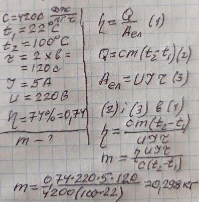
Вода, яку налили в електричний чайник при температурі 22 °С, закипіла через 2 хв.
Визначте масу води, якщо сила струму в нагрівальному елементі чайника 5 А, а напруга
в мережі 220 В. ККД чайника 74 %.

Ответы

Ответ дал: zybkov1950
1

Відповідь: 0,298 кг

Пояснення:

Приложения:
Вас заинтересует