• Предмет: Математика
  • Автор: Oleksander007
  • Вопрос задан 7 лет назад

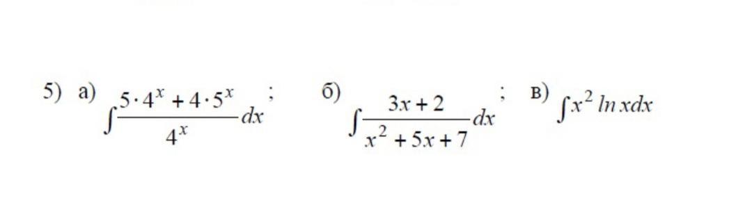
Математика. Знайти невизначений інтеграл

Приложения:

Ответы

Ответ дал: HSS9860
1

Пошаговое объяснение:

посмотрите предложенное решение; ответы подчёркнуты красным.

Приложения:
Вас заинтересует