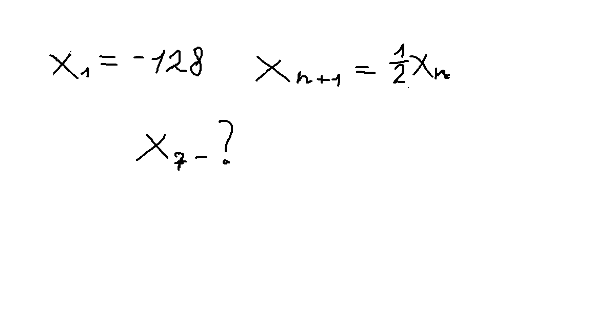
найти седьмой член последовательности
Приложения:

Аноним:
задача не верная. Вы забыли указать тип последовательности.
Ответы
Ответ дал:
0
решениеееееееееееееееее
Приложения:

Вас заинтересует
2 года назад
2 года назад
2 года назад
2 года назад
9 лет назад