• Предмет: Алгебра
  • Автор: KlinkovQ
  • Вопрос задан 7 лет назад

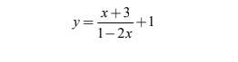
Побудувати графік функції

Приложения:

Ответы

Ответ дал: lakmei
0

Ответ:

Прикреплено

Объяснение:

Решение через программу mathway

Приложения:
Вас заинтересует