Ответы
Ответ дал:
1
Ответ:
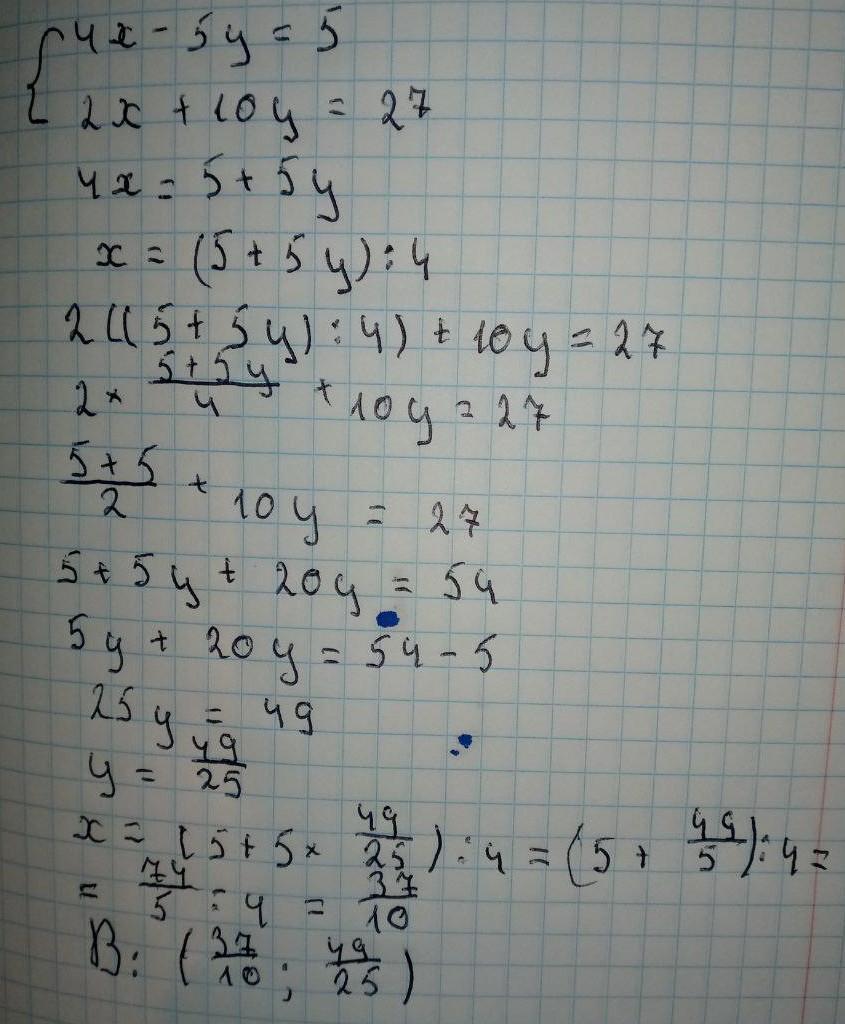
(3,7; 1,96)
Объяснение:
Решим систему уравнении методом сложения. Для этого первое уравнение умножим на 2. Тогда:
Складываем эти два уравнения:
8х + 2х - 10у + 10у = 10 + 27
10х = 37
Теперь найдем у, подставив х в одно из уравнении:
2 * 3,7 + 10у = 27
7,4 + 10у = 27
10у = 27 - 7,4
10у = 19,6
prokopenkooleg616:
спасибо!
Ответ дал:
2
Ответ:
...................................
Приложения:

Вас заинтересует
2 года назад
2 года назад
2 года назад
2 года назад
8 лет назад
8 лет назад
9 лет назад