• Предмет: Алгебра
  • Автор: Kxggh
  • Вопрос задан 7 лет назад

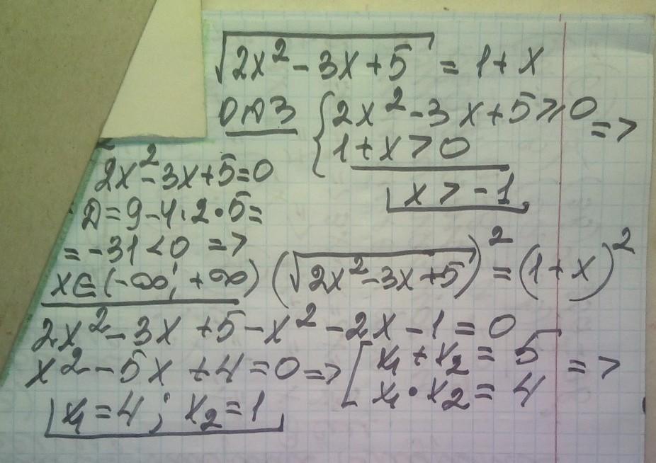
. розв'яжіть рівняння √12x²-3x+5= 1+x
Якщо можна розв'яжіть на аркуші, щоб було зрозуміло. Дякую!​

Приложения:

Ответы

Ответ дал: manyny06
1

Ответ:

решение смотри на фотографии

Приложения:

Kxggh: дякую)))
Вас заинтересует