• Предмет: Алгебра
  • Автор: kilorenzo
  • Вопрос задан 7 лет назад

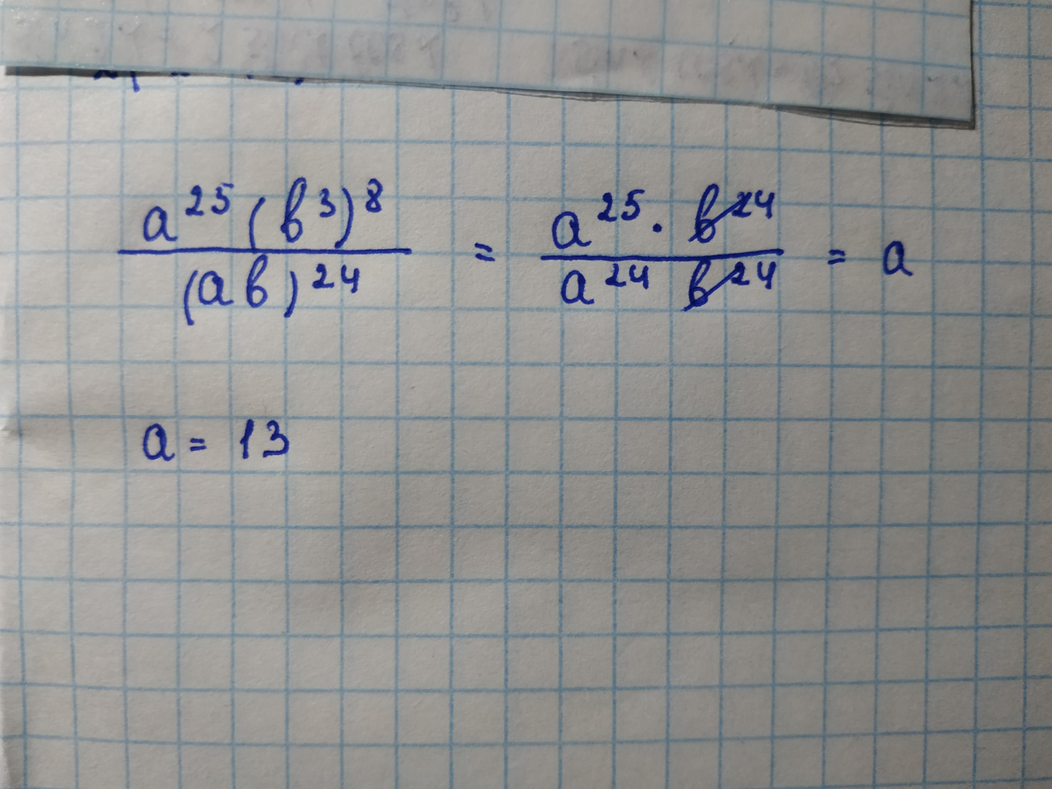
a^25*(b^3)^8/(a*b)^24 при а =13, б=√13​

Ответы

Ответ дал: lisavetka1605
1

Відповідь:

Пояснення:

Приложения:
Ответ дал: Dashulya1337
1

а²⁵(b³)⁸ / (ab)²⁴ = а²⁵b²⁴ / a²⁴b²⁴ = a

Если а = 13, то а=13

Ответ: 13

Вас заинтересует