Ответы
Ответ дал:
1
Відповідь:
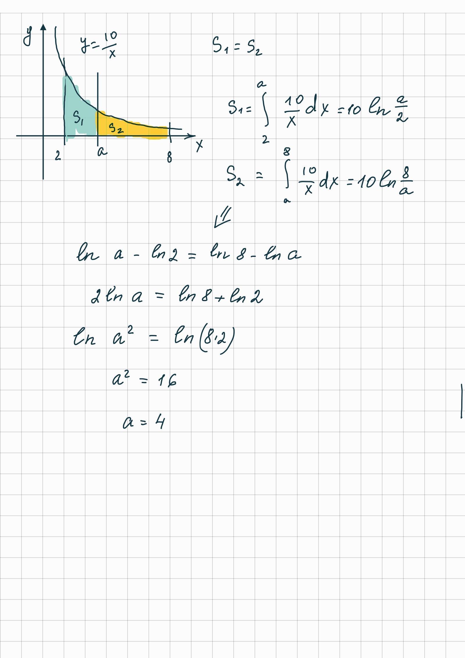
а=
Покрокове пояснення:
Приложения:

Вас заинтересует
2 года назад
2 года назад
8 лет назад
8 лет назад
9 лет назад
9 лет назад