определите массу солнца считая орбиту земли круговой если скорость обращения земли вокруг солнца 30км/с а радиус земной орбиты 1,5*10⁸км
помогите быстрее с дано и решением напишите
Ответы
Ответ дал:
0
Ответ:
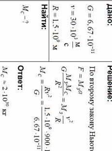
все на картинке
Объяснение:
Приложения:

Вас заинтересует
2 года назад
2 года назад
8 лет назад
8 лет назад
9 лет назад
9 лет назад