• Предмет: Математика
  • Автор: lizanovosad902
  • Вопрос задан 7 лет назад

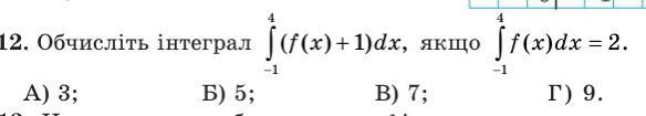
СРОЧНО!!!! Треба обчислити інтеграл, розв’язати

Приложения:

Ответы

Ответ дал: denusp385
0

Ответ:

нщарвднврдчрдчрдчднвнщвщнанщвнщвщнвщнашеандвщевщеяво

Пошаговое объяснение:

аевнвщнвлрвп

Вас заинтересует